5  การเตรียมข้อมูล (Data Wrangling)

5.1 การเตรียมข้อมูล (Data Wrangling)

เป็นขั้นตอนการทำงานที่เสียเวลาเป็นอย่างมากถ้าผู้อ่านไม่ความรู้ในการจัดการข้อมูลให้พร้อมใช้งานเพื่อนำไปวิเคราะห์หรืออสร้างกราฟต่อไป วิธีการจัดการกับข้อมูลด้วยวิธีต่างๆ นั้นมีมากมาย เพื่อให้ข้อมูลเหล่านี้เป็นไปตามวัตถุประสงค์ที่ต้องการ เช่น

  • แปลงข้อมูลให้อยู่ในรูปแบบที่ถูกต้อง เช่นจากตัวเลขเป็นข้อความ เปลี่ยนตัวเลขเป็นตัวแปรเชิงกลุ่ม ฯลฯ

  • แก้ไขหรือนำข้อมูลที่ผิดพลาดหรือไม่ถูกต้องหรือสูญหายออกไป

  • สร้างตัวแปรใหม่หรือแปลงรูปแบบข้อมูลเพื่อให้เหมาะสมกับการวิเคราะห์หรือการประมวลผลที่ต้องการ

  • จัดระเบียบข้อมูลให้อยู่ในรูปแบบที่เหมาะสมสำหรับการนำไปใช้งานต่อไป เช่นการจัดเรียงข้อมูล (sort) การกรองข้อมูล (filter) หรือการรวมข้อมูล (merge)

การเตรียมข้อมูลอาจประกอบด้วยขั้นตอนต่างๆ เช่น

  • การเชื่อมต่อกับแหล่งข้อมูลและดึงข้อมูลมาจากแหล่งต่างๆ เช่นจากฐานข้อมูล Yahoo Finance

  • การทำความสะอาดข้อมูล (data cleaning) โดยการตรวจสอบและแก้ไขข้อผิดพลาดที่อาจเกิดขึ้นในข้อมูล เช่น ข้อมูลที่หายไป (missing data) ข้อมูลที่ซ้ำซ้อน (duplicate data) หรือข้อมูลที่ไม่ถูกต้อง

  • การแปลงรูปแบบข้อมูล (data transformation) เพื่อให้ข้อมูลมีรูปแบบที่ถูกต้องหรือเข้ากันได้กับการวิเคราะห์ที่ต้องการทำ เช่น การแปลงรูปแบบข้อมูลวันที่และเวลา การแปลงข้อมูลทางภูมิศาสตร์ หรือการแปลงข้อมูลที่เป็นตัวอักษรให้เป็นตัวเลข

  • การกรองข้อมูล (data filtering) เพื่อเลือกเฉพาะข้อมูลที่ต้องการใช้งานเท่านั้น

  • การจัดระเบียบข้อมูล (data reordering) เพื่อเรียงลำดับข้อมูลตามลำดับที่เหมาะสมหรือตามเกณฑ์ที่กำหนด

  • การรวมข้อมูล (data merging) เพื่อรวมข้อมูลจากแหล่งต่างๆ เข้าด้วยกันเพื่อให้ได้ข้อมูลที่มีขอบเขตและความละเอียดที่มากขึ้น

การเตรียมข้อมูลนี้เป็นกระบวนการสำคัญในการวิเคราะห์ข้อมูล การสร้างกราฟ การนำข้อมูลไปใส่ตัวแบบทางสถิติหรือการเรียนรู้ด้วยเครื่องจักร การนำไปใช้งานต่อไป เนื่องจากถ้าข้อมูลที่มีคุณภาพและมีรูปแบบที่ถูกต้องจะช่วยให้การวิเคราะห์และการประมวลผลข้อมูลเป็นอย่างถูกต้องและมีประสิทธิภาพมากยิ่งขึ้น

เมื่อได้รับข้อมูลมาแล้ว โดยส่วนมากจะอยู่ในรูปแบบของตาราง ที่เป็นเวคเตอร์หรือกรอบข้อมูล ในบทนี้จะสนใจข้อมูลที่เป็นเวคเตอร์และกรอบข้อมูลเท่านั้น

5.2 ปัญหาการเรียงลำดับ (sorting problem)

เมื่อเรามีข้อมูลในรูปแบบเวคเตอร์ หรือกรอบข้อมูล เราสามารถทำอะไรได้บ้างกับเวคเตอร์หรือกรอบข้อมูล ซึ่งการเรียงลำดับเป็นปัญหาพื้นฐานที่สุดแบบหนึ่งที่จะต้องเจอ

5.2.1 คำสั่ง sort( )

โดยปกติจะเป็นการเรียงลำดับจากน้อยไป ใช้ได้กับข้อมูลทุกกระเภท

z <- c(34, 47, 25, 14)
sort(z)
[1] 14 25 34 47
z2 <- c("A", "b", "AA", "0")
sort(z2)
[1] "0"  "A"  "AA" "b" 

การเรียงลำดับด้วยตัวอักษร จะเรียงลำดับด้วยพยัญชนะตัวแรกมาเปรียบเทียบกัน ถ้ามีเป็นตัวเดียวกัน ให้นำพยัญชนะตัวที่สองที่เปรียบกัน ทำแบบนี้ไปเรื่อยๆ ก็จะได้การเรียงลำดับด้วยตัวอักษร

ถ้าต้องการเรียงลำดับจากมากไปน้อย ให้เพิ่มคำสั่งภายใน คือ

decreasing = TRUE

เช่น

sort(x = z, decreasing = TRUE)
[1] 47 34 25 14

หรือ

sort(x = z2, decreasing = TRUE)
[1] "b"  "AA" "A"  "0" 

5.2.2 คำสั่ง order( )

เป็นเรียงลำดับตามเลขตำแหน่ง เมื่อเรียงจากน้อยไปมาก

ก่อนเรียงลำดับ
ลำดับ ค่าภายใน
1 34
2 47
3 25
4 14

เมื่อเรียงลำดับจะได้

sort(x = z)
[1] 14 25 34 47
หลังเรียงลำดับ
ลำดับ ค่าภายใน
4 14
3 25
1 34
2 47

โดยคำสั่ง order( ) หมายถึง

order(x = z)
[1] 4 3 1 2

ถ้าต้องการกำหนดจากมาไปน้อยให้ใช้

order(x = z, decreasing = TRUE)  
[1] 2 1 3 4

5.2.3 คำสั่ง rev( )

เป็นการสลับทิศทางของเวคเตอร์จากซ้ายเป็นขวา

rev(x = z)
[1] 14 25 47 34

ทำให้การเรียงดำดับจากมากไปน้อยทำได้โดย

rev(x = sort(x = z))
[1] 47 34 25 14

ตัวอย่างการประยุกต์ใช้งาน

กำหนดเวตเตอร์ของวัน และจำนวนลูกค้าที่เข้าร้านดังนี้

day <- c("Monday", "Tuesday", "Wednesday", "Thursday", "Friday", "Saturday", "Sunday")
customer <- c(100, 80, 90, 120, 150, 140, 130)

คำถาม วันไหนที่มีลูกค้าเข้าร้านมากที่สุด?

ii <- order(x = customer, decreasing = TRUE)
day[ii]
[1] "Friday"    "Saturday"  "Sunday"    "Thursday"  "Monday"    "Wednesday"
[7] "Tuesday"  

หรือ

ii <- rev(x = order(x = customer))
day[ii]
[1] "Friday"    "Saturday"  "Sunday"    "Thursday"  "Monday"    "Wednesday"
[7] "Tuesday"  

การเรียงลำดับในกรอบข้อมูล

Data <- data.frame(day, customer)
Data
        day customer
1    Monday      100
2   Tuesday       80
3 Wednesday       90
4  Thursday      120
5    Friday      150
6  Saturday      140
7    Sunday      130

วันไหนที่ลูกค้าน้อยที่สุด?

Data[order(x = Data$customer), ]
        day customer
2   Tuesday       80
3 Wednesday       90
1    Monday      100
4  Thursday      120
7    Sunday      130
6  Saturday      140
5    Friday      150

การเรียงลำดับข้อมูลตัวแปรประเภทเชิงกลุ่ม (categorical) ในอาร์จะเรียกตัวแปรนี้ว่าตัวแปรปัจจัย (factor)

จากเวคเตอร์ day ถ้าเรียงดำดับจากน้อยไปมาก จะได้

DAY <- sort(day)
DAY
[1] "Friday"    "Monday"    "Saturday"  "Sunday"    "Thursday"  "Tuesday"  
[7] "Wednesday"

ซึ่งไม่ถูกต้อง ตัวแปรนี้จะต้องถูกสร้างด้วยคำสั่ง factor( ) และกำหนดลำดับภายในเสียก่อน

DAY <- factor(x = DAY, levels = day)
DAY <- sort(DAY)

ก็จะได้ข้อมูลเชิงกลุ่มที่ถูกต้องได้ ตัวแปรประเภทนี้ถูกใช้อย่างมากในการวิเคราะห์ทางสถิติอื่นๆ รวมถึงการสร้างกราฟประเภทต่างๆด้วย

5.3 ข้อมูลเชตย่อยในอาร์ (subset in R)

ข้อมูลที่อยู่แล้วในบ้างครั้ง เราอาจจะไม่ต้องการใช้ทั้งหมด อาจต้องการใช้งานเพียงบางส่วน พิจารณาเฉพาะข้อมูลที่เป็นไปตามเงื่อนไขเท่านั้น วิธีที่จะได้เซตย่อยที่ต้องการมีหลายวิธีเช่น

สมมุติจากเวคเตอร์ DAY ต้องการ วันจันทร์ วันพุธ วันศุกร์ และวันอาทิตย์

  • ใช้คำสั่ง c( ) สร้างเวคเตอร์ของตำแหน่งที่ต้องการ
DAY[c(1, 3, 5, 7)]
[1] Monday    Wednesday Friday    Sunday   
Levels: Monday Tuesday Wednesday Thursday Friday Saturday Sunday
  • ใช้ผลจากตัวดำเนินจากเปรียบเทียบเลือกข้อมูลที่ต้องการ
# เลข 1-7 หารเศษด้วย 2 มีค่าไม่เท่า 0
re <- c(1:7) %% 2 != 0
re
[1]  TRUE FALSE  TRUE FALSE  TRUE FALSE  TRUE

นำค่าไปใส่ในเวคเตอร์ DAY จะได้ (TRUE คือแสดงว่า FALSE ไม่ต้องแสดงค่า)

DAY[re]
[1] Monday    Wednesday Friday    Sunday   
Levels: Monday Tuesday Wednesday Thursday Friday Saturday Sunday
  • ใช้คำสั่ง subset( ) เลือก DAY เท่ากับ วันจันทร์ หรือเท่ากับ วันพุธ หรือเท่ากับ วันศุกร์หรือเท่ากับ วันอาทิตย์
subset(x = DAY, subset = (DAY == "Monday")|(DAY == "Wednesday")| (DAY == "Thursday")| 
         (DAY == "Sunday"))
[1] Monday    Wednesday Thursday  Sunday   
Levels: Monday Tuesday Wednesday Thursday Friday Saturday Sunday

หรือต้องการค่า customer ต่อวันที่มากกว่าหรือเท่ากับ 120

customer
[1] 100  80  90 120 150 140 130
customer[c(4, 5, 6, 7)]
[1] 120 150 140 130
customer[customer >= 120]
[1] 120 150 140 130
subset(x = customer, subset = customer >= 120)
[1] 120 150 140 130

ศึกษาคำสั่ง subset( ) เพิ่มเติมได้จาก

help(subset)

5.4 เซตย่อยจากกลุ่มข้อมูล (subset in data frame)

เชตย่อยของกรอบข้อมูลมีได้หลากหลายกรณี เช่น การเลือกตัวแปรแค่บ้างตัวไปใช้ หรือเลือกข้อมูลที่ต้องการไปใช้ โดยจะมีเงื่อนไขที่กำหนดหรือไม่ก็ได้ และการเลือกตัวแปรบ้างตัวและข้อมูลที่เข้าเงื่อนไขเท่านั้น

ในการทางวิทยาศาสตร์ข้อมูล เมื่อได้ข้อมูลมาสำหรับตัวแบบตัวสินใจด้วยการเรียนรู้ของเครื่องจักร จำเป็นจะต้องแบ่งข้อมูลออก 2 กลุ่มเช่น ข้อมูลสำหรับการเรียนรู้ (train data) และข้อมูลสำหรับการทดสอบ (test data)

ตัวอย่างจากข้อมูล mtcars ต้องแบ่งข้อมูลออกเป็น 2 กลุ่มโดยใช้สัดส่วน 80/20 คือ ข้อมูลร้อยละ 80 สำหรับการเรียนรู้ และข้อมูลร้อยละ 20 สำหรับการทดสอบ ทำได้ดังนี้ จำนวนข้อมูลทั้งหมด

str(mtcars)
'data.frame':   32 obs. of  11 variables:
 $ mpg : num  21 21 22.8 21.4 18.7 18.1 14.3 24.4 22.8 19.2 ...
 $ cyl : num  6 6 4 6 8 6 8 4 4 6 ...
 $ disp: num  160 160 108 258 360 ...
 $ hp  : num  110 110 93 110 175 105 245 62 95 123 ...
 $ drat: num  3.9 3.9 3.85 3.08 3.15 2.76 3.21 3.69 3.92 3.92 ...
 $ wt  : num  2.62 2.88 2.32 3.21 3.44 ...
 $ qsec: num  16.5 17 18.6 19.4 17 ...
 $ vs  : num  0 0 1 1 0 1 0 1 1 1 ...
 $ am  : num  1 1 1 0 0 0 0 0 0 0 ...
 $ gear: num  4 4 4 3 3 3 3 4 4 4 ...
 $ carb: num  4 4 1 1 2 1 4 2 2 4 ...

ดังนั้น ข้อมูลสำหรับการเรียนรู้ตั้งแต่ 1 ถึง 26 และสำหรับทดสอบ คือข้อมูลที่เหลือสำหรับทดสอบ คือ ตัวที่ 27 ถึง 32

mtcars.trian <- mtcars[1:26, ]
mtcars.test <- mtcars[27:32,]

5.5 เซตย่อยของหลักในอาร์ (columns subset in R)

คือการเลือกข้อมูลออกไปตั้งแต่ 1 ตัวแปรขึ้นไป

เช่นเลือกตัวแปร cyl ออกไปจาก mtcars.test เป็นตัวกรอบข้อมูลใหม่ ชื่อว่า mtcars.t

mtcars.t <- mtcars.test[, 2]
str(mtcars.t)
 num [1:6] 4 4 8 6 8 4

หรือ

mtcar.t <- mtcars.test$cyl
str(mtcar.t)
 num [1:6] 4 4 8 6 8 4

หมายเหตุ ถ้าเลือกออกไป 1 ตัวด้วยคำสั่งข้างบย mtcar.t จะเป็นตัวแปรเวคเตอร์ ไม่ใช่กรอบข้อมูล

is.vector(mtcar.t)
[1] TRUE

การเลือกตัวแปรออกไปตั้งแต่ 2 ตัวขึ้นไปจาก mtcars.test เช่น เลือก hp cyl และ gear นำไปใส่ในตัวแปรชื่อ mtcar.t2

mtcars.t2 <-data.frame(hp = mtcars.test$hp, 
                       cyl = mtcars.test$cyl, 
                       gear = mtcars.test$gear)
str(mtcars.t2)
'data.frame':   6 obs. of  3 variables:
 $ hp  : num  91 113 264 175 335 109
 $ cyl : num  4 4 8 6 8 4
 $ gear: num  5 5 5 5 5 4

หรือใช้วิธี เลือกจากลำดับของตัวแปร

mtcars.t2 <- mtcars.test[,c(4, 2, 10)]
str(mtcars.t2)
'data.frame':   6 obs. of  3 variables:
 $ hp  : num  91 113 264 175 335 109
 $ cyl : num  4 4 8 6 8 4
 $ gear: num  5 5 5 5 5 4

หรือจะใช้วิธีสร้างเวคเตอร์ของชื่อตัวตัวแปรที่ต้องการ ดังนี้

mtcars.t2 <- mtcars.test[,c("hp", "cyl", "gear")]
str(mtcars.t2)
'data.frame':   6 obs. of  3 variables:
 $ hp  : num  91 113 264 175 335 109
 $ cyl : num  4 4 8 6 8 4
 $ gear: num  5 5 5 5 5 4

5.5.1 เชตย่อยของแถวในกรอบข้อมูล (subset data frame by row number)

ก็คือการสร้างเวคเตอร์ ของลำดับข้อมูลต้องการใส่ลงไปในกรอบข้อมูล เหมือนกับกรณีข้อมูลสำหรับการเรียนรู้ หรือข้อมูลสำหรับทดสอบ

5.5.2 เชตย่อยของข้อมูลจากเงื่อนไขที่กำหนด

จากกรอบข้อมูล mtcars.t2

mtcars.t2
                hp cyl gear
Porsche 914-2   91   4    5
Lotus Europa   113   4    5
Ford Pantera L 264   8    5
Ferrari Dino   175   6    5
Maserati Bora  335   8    5
Volvo 142E     109   4    4

ต้องการข้อมูลที่มีค่า hp > 200

# สร้างเวคเตอร์เงื่อนที่ hp >200
condi  <- mtcars.t2$hp > 200
condi
[1] FALSE FALSE  TRUE FALSE  TRUE FALSE

ใส่ condi ลงไปใน mtcars.t2

mtcars.t2[condi, ]
                hp cyl gear
Ford Pantera L 264   8    5
Maserati Bora  335   8    5

หรือใช้คำสั่ง subset

# สามารถใส่ชื่อตัวแปรที่ต้องการ และเงื่อนไขลงไปได้เลย
subset(x = mtcars.t2, subset = hp > 200)
                hp cyl gear
Ford Pantera L 264   8    5
Maserati Bora  335   8    5

จะเห็นว่าการใช้คำสั่ง subset ง่ายกว่า

ถ้ามีเงื่อนไขมากกว่า 1 อย่าง เช่น จาก mtcars.t2 ต้องการ hp<200 และ cyl = 6 สามารถใช้คำสั่ง subset ได้ดังนี้

# & คือตัวดำเนินการตรรกศาสตร์ และ(and)
subset(x = mtcars.t2, subset = (hp < 200)&(cyl == 6))
              hp cyl gear
Ferrari Dino 175   6    5

5.5.3 การเลือกตัวแปรทีต้องการและใส่เงื่อนไขที่ต้องการ

จาก mtcar.train ต้องการข้อมูลที่ hp > 200 และ ไม่ได้มี 4 gears และต้องการเพียงตัวแปร hp, gear และ disp

subset(x = mtcars.trian, 
       subset = (gear != 4)&(hp >200),
       select = c(hp, gear, disp))
                     hp gear disp
Duster 360          245    3  360
Cadillac Fleetwood  205    3  472
Lincoln Continental 215    3  460
Chrysler Imperial   230    3  440
Camaro Z28          245    3  350

5.6 คำสั่ง cut( )

เป็นคำสั่งที่ปรโยชน์มาก สำหรับการเปลี่ยนค่าตัวเลขให้ ตัวแปรกลุ่ม (factor) ที่กำหนด ยกตัวแปรเช่น ต้องการเปลี่ยนคะแนนเป็นเกรดโดยมีเงื่อนไขดังนี้

คะแนน เกรด
0-49 F
50-59 D
60-69 C
70-79 B
80-100 A

มีนักเรียน 20 คนได้คะแนนดังนี้

set.seed(12)
score <- sample(x = 40:85, size = 20)
score 
 [1] 41 65 55 66 44 81 67 73 47 82 57 75 84 52 63 43 71 64 77 78
cut(x = score, 
    breaks = c(0, 49, 59, 69, 79, 100),
    labels = c("F", "D", "C", "B", "A"))
 [1] F C D C F A C B F A D B A D C F B C B B
Levels: F D C B A

breaks กำหนดขอบของตัวเลขที่ต้องการจะตัด โดยเริ่มจากเลขต่ำสุด ไปจนถึงตัวเลขสูงสุด

levels คือช่วงตัวเลขต้องการเป็นเปลี่ยนตัวชื่อกลุ่มที่ต้องการ

ถ้ามีนักเรียนเพิ่มขึ้นมาอีก 2 คน โดยได้คะแนน 0 และ 100 ตามลำดับ เมื่อทำการตัดเกรดเหมือนเดิมจะได้

score <- c(score, c(0, 100))
cut(x = score, 
    breaks = c(0, 49, 59, 69, 79, 100),
    labels = c("F", "D", "C", "B", "A"))
 [1] F    C    D    C    F    A    C    B    F    A    D    B    A    D    C   
[16] F    B    C    B    B    <NA> A   
Levels: F D C B A

จะว่า นร. ที่ได้คะแนน 0 จะไม่ถูกตัดเกรด เพราะ รูปแบบการทำงานของคำสั่งคือ

(0,49] = F, (49, 59] = D, (60, 69] = C, (70, 79] = B, (79, 100] = A ดังนั้นถ้าต้องการร่วมค่าตำ่สุดคือ 0 ให้กำหนด include.lowest = TRUE เพิ่มลงไปในคำสั่ง cut( )

grade <- cut(x = score, 
    breaks = c(0, 49, 59, 69, 79, 100),
    labels = c("F", "D", "C", "B", "A"), include.lowest = TRUE)
grade
 [1] F C D C F A C B F A D B A D C F B C B B F A
Levels: F D C B A

เมื่อได้ตามที่ต้องการแล้ว ก็สามารถนำตัวแปรทั้งมารวมกันได้เป็นกรอบข้อมูล

student.grade <- data.frame(score, grade)
str(student.grade)
'data.frame':   22 obs. of  2 variables:
 $ score: num  41 65 55 66 44 81 67 73 47 82 ...
 $ grade: Factor w/ 5 levels "F","D","C","B",..: 1 3 2 3 1 5 3 4 1 5 ...

5.7 การควบรวมกรอบข้อมูลด้วยคำสั่ง merge( )

คำสั่ง merge( ) ในอาร์สามารถทำให้รวมกรอบข้อมูลตั้งแต่สองกรอบข้อมูลขึ้นไป โดยแต่ละกรอบข้อมูลจะมี จะมีอย่างน้อย 1 ตัวแปรที่มีชื่อเดียวกัน

ตัวอย่างการรวมกรอบข้อมูล

ตัวอย่างการรวมกรอบข้อมูล

ตัวอย่าง

มีข้อมูลพนักงาน 10 คนประกอบไปด้วยตัวแปร เลขพนักงาน ชื่อพนักงาน เงินเดือน อายุ ตำแหน่ง สามารถสุ่มข้อมูลได้ดังนี้

##Sample datasets
set.seed(61)
employee_id <- paste("ID:", 1:10)
employee_name <- c("Keng", "Pie", "Norm", "Bua",
                   "Jack","Joke", "Matha", "Kan", 
                   "Boat", "Song")
employee_salary <- round(rnorm(10, mean = 2000, sd = 200))
employee_age <- round(rnorm(10, mean = 50, sd = 7))
employee_position <- c("Researcher", "Lecturer", "TA",
                       rep("Technician", 7))

นำข้อมูลนี้มาสร้างกรอบข้อมูล A และ B โดย

A <- data.frame(id = employee_id[1:8], 
              name = employee_name[1:8],
              month_salary = employee_salary[1:8])
knitr::kable(A)
id name month_salary
ID: 1 Keng 1924
ID: 2 Pie 1925
ID: 3 Norm 1656
ID: 4 Bua 2070
ID: 5 Jack 1723
ID: 6 Joke 1962
ID: 7 Matha 2141
ID: 8 Kan 2103
ii <- c(1:4,6:10)
B <- data.frame(id = employee_id[ii], 
              name = employee_name[ii],
               age = employee_age[ii], 
              position = employee_position[ii])
knitr::kable(B)
id name age position
ID: 1 Keng 41 Researcher
ID: 2 Pie 40 Lecturer
ID: 3 Norm 53 TA
ID: 4 Bua 64 Technician
ID: 6 Joke 39 Technician
ID: 7 Matha 53 Technician
ID: 8 Kan 56 Technician
ID: 9 Boat 54 Technician
ID: 10 Song 44 Technician
Tipคำสั่ง kable( )

เป็นคำสั่งในชุดคำสั่ง knitr เพื่อแสดงข้อมูลแปรประเภทกรอบข้อมูลให้ออกมาอยู่รูปตารางที่สวยงาม สำหรับเอกสารแบบ HTML หรือ pdf

5.7.1 การควบรวมแบบอินเตอร์เซกชัน (inner join)

การควบรวมแบบนี้ เป็นพื้นฐานที่เจอได้บ่อย

โดยการพิจารณาตัวแปรเดียวกันในแต่กรอบข้อมูล ว่ามีค่าใดตัวเดียวกันที่เหมือนกันบ้าง แล้วจะนำตัวแปรที่เหลือในแต่ กรอบมาเรียงต่อกันจากซ้ายไปขวา

จากกรอบข้อมูล และ A มีตัวแปรที่เหมือนกันกับกรอบข้อมูล B คือ id และ name เมื่อทำการควบรวมด้วยคำสั่ง merge( ) แบบ inner join
จะเห็นว่า ID:5 จากตัวแปร ID และ ชื่อ Jack จากตัวแปร name กรอบข้อมูล A ไม่มี และ ID:9 และ ID:10 จากตัวแปร ID และ ชื่อ Boat และ Song จากตัวแปร name กรอบข้อมูล B ไม่มี เมื่อควบรวมกัน

merge(x = A, y = B)
     id  name month_salary age   position
1 ID: 1  Keng         1924  41 Researcher
2 ID: 2   Pie         1925  40   Lecturer
3 ID: 3  Norm         1656  53         TA
4 ID: 4   Bua         2070  64 Technician
5 ID: 6  Joke         1962  39 Technician
6 ID: 7 Matha         2141  53 Technician
7 ID: 8   Kan         2103  56 Technician

5.7.2 การควบรวมแบบยูเนียน (full(outer) join)

เป็นการควบรวมค่าตัวแปรที่เหมือนกัน โดยไม่มีการตัดภายในตัวแปรเดียวกันที่อีกตารางทิ้งไป

ทำได้โดย กำหนด all = TRUE ในคำสั่ง merge( )

merge(x = A, y = B, all = TRUE)
       id  name month_salary age   position
1   ID: 1  Keng         1924  41 Researcher
2  ID: 10  Song           NA  44 Technician
3   ID: 2   Pie         1925  40   Lecturer
4   ID: 3  Norm         1656  53         TA
5   ID: 4   Bua         2070  64 Technician
6   ID: 5  Jack         1723  NA       <NA>
7   ID: 6  Joke         1962  39 Technician
8   ID: 7 Matha         2141  53 Technician
9   ID: 8   Kan         2103  56 Technician
10  ID: 9  Boat           NA  54 Technician

จะสังเกตุได้ว่า ค่าตัวแปรใดที่อีกกรอบข้อมูลไม่ ให้ค่าเป็น NA

5.7.3 การควบรวมแบบ left join (outer)

คือการควบรวมที่เก็บทุกค่าของกรอบข้อมูลทางซ้ายไว้ทั้งหมด

ทำได้กำหนดค่า all.x = TRUE ในคำสั่ง merge

AB <- merge(x = A, y = B, all.x = TRUE)
AB 
     id  name month_salary age   position
1 ID: 1  Keng         1924  41 Researcher
2 ID: 2   Pie         1925  40   Lecturer
3 ID: 3  Norm         1656  53         TA
4 ID: 4   Bua         2070  64 Technician
5 ID: 5  Jack         1723  NA       <NA>
6 ID: 6  Joke         1962  39 Technician
7 ID: 7 Matha         2141  53 Technician
8 ID: 8   Kan         2103  56 Technician

5.7.4 การควบรวมแบบ right join

เหมือนกับการทำ left join แต่เป็นการเก็บกรอบข้อมูลทางซ้ายมือไว้ทั้งหมด

ทำได้กำหนดค่า all.y = TRUE ในคำสั่ง merge

merge(x = A, y = B, all.y = TRUE)
      id  name month_salary age   position
1  ID: 1  Keng         1924  41 Researcher
2 ID: 10  Song           NA  44 Technician
3  ID: 2   Pie         1925  40   Lecturer
4  ID: 3  Norm         1656  53         TA
5  ID: 4   Bua         2070  64 Technician
6  ID: 6  Joke         1962  39 Technician
7  ID: 7 Matha         2141  53 Technician
8  ID: 8   Kan         2103  56 Technician
9  ID: 9  Boat           NA  54 Technician

5.8 การแก้ปัญหาข้อมูลสูญหาย (Missing value)

ในกรณีที่ตัวแปรเวคเตอร์ หรือค่าของตัวแปรบางตัวในกรอบข้อมูลมีการสูญหายไป เช่น

Vec <- c(1,2,NA, 5)
Vec 
[1]  1  2 NA  5

หรือค่าจากการควบรวมตารางที่ผ่านมี จะมีค่า NA ปรากฎ ซึ่งเราจะต้องทำการแก้ไขค่า NA ที่ เกิดขึ้น ถ้าไม่แก้ไขอาจจะเกิดปัญหาได้ เช่น

ถ้าต้องการหาค่าเฉลี่ยของเวคเตอร์ Vec จะไม่สามารถคำนวณได้เพราะมีค่า NA อยู่เวคเตอร์

mean(Vec)
[1] NA

5.8.1 ตรวจสอบข้อมูลสูญหายด้วยคำสั่ง is.na( )

ถ้าต้องการทราบว่า มีจำนวนสูญหายเท่าไหร่? มีวิธีการแก้ปัญหาดังนี้

  • ทดสอบก่อนเสมอว่าข้อมูลที่ได้มามีการสูญหายหรือไม่ ด้วยคำสั่ง sum(is.na( )) สำหรับตัวแปรเวคเตอร์
sum(is.na(x = Vec))
[1] 1

จากผลลัพธ์ที่ได้แสดงว่ามีข้อมูลสูญหาย 1 ตัว และถ้าเวคเตอร์นี้ไม่มีข้อมูลสูญหายจะมีค่าเท่ากับ 0

สำหรับกรอบข้อมูล เช็คได้โดยคำสั่ง colSums(is.na( ))

colSums(is.na(AB))
          id         name month_salary          age     position 
           0            0            0            1            1 

ผลลัพธ์ของตัวแปรใดที่มีค่าเป็น 0 แสดงไม่มีค่า NA ปรากฎอยู่ในตัวแปรนั้น และถ้ามีค่าเป็นจำนวนเต็มบวกอยู่ในตัวแปรใด ก็จะทราบว่ามีค่า NA อยู่เป็นจำนวนเท่าไหร่

วิธีแก้ปัญหาเมื่อพบว่ามีค่า NA ปรากฎคือ

  1. สำหรับตัวแปรเวคเตอร์ลบข้อมูลที่เป็นค่า NA ทิ้งไป ด้วยคำสั่ง
!is.na( ) 

โดยทำได้ดังนี้

Vec[!is.na(Vec)]
[1] 1 2 5

สำหรับกรอบข้อมูลถ้าแถวใด ที่ปรากฎค่า NA ให้ลบข้อมูลทั้งแถวนั้นทิ้งไป ด้วย คำสั่ง na.omit( ) ดังนี้

na.omit(AB)
     id  name month_salary age   position
1 ID: 1  Keng         1924  41 Researcher
2 ID: 2   Pie         1925  40   Lecturer
3 ID: 3  Norm         1656  53         TA
4 ID: 4   Bua         2070  64 Technician
6 ID: 6  Joke         1962  39 Technician
7 ID: 7 Matha         2141  53 Technician
8 ID: 8   Kan         2103  56 Technician
  1. เปลี่ยนค่าที่เป็น NA ด้่วยค่าเฉลี่ย(mean) หรือ ค่ามัธยฐาน (median) สำหรับข้อที่เป็นตัวเลข ถ้าข้อมูลสูญหายเป็นชนิดอื่นๆ ก็อาจทดแทนด้วยข้อความที่เหมาะสม เช่น ไม่ทราบ เป็นต้น
  • สำหรับตัวแปรเวคเตอร์สามารถใช้คำสั่งดังนี้
# จำลองช้อที่สูญหาย
set.seed(12)
Vec.m <- sample(x = c(2:5, NA), size = 10, replace = TRUE)
Vec.m
 [1]  3  3  4 NA NA  5  3  4  3 NA

ขั้นที่ 1 หาค่าเฉลี่ยด้วย คำสั่ง mean( ) ที่ไม่นำข้อมูลที่เป็น NA เข้าคำนวณ ด้วยการเพิ่มคำสั่ง na.rm = TRUE

M1 <- mean(Vec.m, na.rm = TRUE)
M1
[1] 3.571429

หรือคำนวณค่ามมัธยฐาน ด้วยคำสั่ง median( ) โดยที่ไม่นำข้อมูลที่เป็น NA เข้ามาคำนวณ ด้วยการเพิ่มคำสั่ง na.rm = TRUE

M2 <- median(Vec.m, na.rm = TRUE)
M2
[1] 3

ค้นหาตำแหน่งที่ ข้อมูลมีค่า NA ด้วยคำสั่ง is.na( )

Na.Position <-is.na(Vec.m)
Na.Position
 [1] FALSE FALSE FALSE  TRUE  TRUE FALSE FALSE FALSE FALSE  TRUE

แสดง NA ในเวคเตอร์

Vec.m[Na.Position]
[1] NA NA NA

หลังจากนั้นแทนลงไปด้วยด้วยคำสั่ง

Vec.m[Na.Position] <- M1
Vec.m
 [1] 3.000000 3.000000 4.000000 3.571429 3.571429 5.000000 3.000000 4.000000
 [9] 3.000000 3.571429

หรือจะแทนด้วยมัธยฐานก็ทำเหมือนกัน

Vec.m[Na.Position] <- M2
Vec.m
 [1] 3 3 4 3 3 5 3 4 3 3

5.8.2 คำสั่ง which( )

เป็นคำสั่งที่ค้นหาค่าเวคเตอร์ที่ต้องการ อยู่ตำแหน่งใด

จาก Vec.m ต้องการทราบว่า ตำแหน่งใดใน Vec.m มีค่าเท่ากับ 5

which(Vec.m == 5)
[1] 6

หรือมีค่าเท่ากับ 4 หรือ 5

which((Vec.m == 4)|(Vec.m == 5))
[1] 3 6 8

เราสามารถใช้คำสั่ง which( ) ในการค้นหาค่า NA ในเวคเตอร์ได้เช่นเดียวกัน

จำลองข้อมูลที่สูญหายอีกครั้ง

set.seed(12)
Vec.m <- sample(x = c(2:5, NA), size = 10, replace = TRUE)
Vec.m
 [1]  3  3  4 NA NA  5  3  4  3 NA

ด้วยการคำสั่ง which( ) เราไม่สามารถกำหนดคำสั่งแบบนี้โดยตรงได้

which(Vec.m == NA)
integer(0)

เพราะ NA ไม่มีค่าอยู่จริง จึงไม่สามารถการเปรียบเทียบแบบนี้ได้ต้องใช้

which(is.na(Vec.m))
[1]  4  5 10

ส่วนการแทนค่าก็ทำเหมือนตัวอย่างก่อนหน้าได้ทันที

Vec.m[which(is.na(Vec.m))] <- M2
Vec.m
 [1] 3 3 4 3 3 5 3 4 3 3

สำหรับตัวแปรกรอบข้อมูล ถ้าตัวแปรในกรอบข้อมูลมีค่าสูญหายเกิดขึ้น ถ้าสามารถใช้วิธีการเดียวกันเวคเตอร์มาใช้ได้ และถ้าต้องการแก้ไขเปลี่ยนค่า NA ไปเป็นค่าที่ต้องการทีละตัวแปร แต่ถ้าจำนวนตัวแปรมีมากวิธีการนี้ อาจจะไม่เหมาะสม

set.seed(12)
Vec.m <- sample(x = c(2:5, NA), size = 10, replace = TRUE)
Vec.n <- sample(x = c(7:9, NA), size = 10, replace = TRUE)
Data.mn <- data.frame(Vec.m, Vec.n)
Data.mn
   Vec.m Vec.n
1      3     8
2      3     7
3      4     8
4     NA    NA
5     NA     8
6      5     8
7      3     9
8      4    NA
9      3     7
10    NA    NA

การศึกษาการเขียนโปรแกรมเพิ่มเติมจะช่วยได้มาก ซึ่งในหลังสือเล่มไม่ได้กล่าวถึง เพราะไม่มีความจำเป็นต้องใช้ก็ได้

ในแต่ละตัวแปร ให้แทน NA ด้วยค่าเฉลี่ย สามารถเขียนโปรแกรมทำซ้ำได้ดังนี้

for (i in 1:2){
Data.mn[is.na(Data.mn[,i]), i] <- mean(x = Data.mn[,i], na.rm = TRUE)    
}
Data.mn
      Vec.m    Vec.n
1  3.000000 8.000000
2  3.000000 7.000000
3  4.000000 8.000000
4  3.571429 7.857143
5  3.571429 8.000000
6  5.000000 8.000000
7  3.000000 9.000000
8  4.000000 7.857143
9  3.000000 7.000000
10 3.571429 7.857143

5.9 คำสั่ง aggregate( )

ก่อนจะกล่าวถึง การใช้คำสั่ง aggregate( ) จะกล่าวถึงลักษณะปัญหาที่เจอก่อน โดยยกตัวอย่าง ข้อมูลจากข้อมูลที่จำลองขึ้นมา

set.seed(12)
N <- 100
height <- round(rnorm(n = N, mean = 160, sd = 3), digits = 2)
gender <- sample(x = c("Male", "Female"), size = N, replace = TRUE) 
faculty <- sample(x = c("ECON", "SCI","BUS"), size = N, replace = TRUE) 
stu.data <- data.frame(height, gender, faculty)

เป็นข้อมูลส่วนสูงตามเพศในแต่ละคณะในการคำนวณค่าสถิติพรรณาด้วยอาร์ เราสามารถใช้คำสั่ง summary( )

summary(stu.data)
     height         gender            faculty         
 Min.   :153.6   Length:100         Length:100        
 1st Qu.:158.3   Class :character   Class :character  
 Median :159.7   Mode  :character   Mode  :character  
 Mean   :159.9                                        
 3rd Qu.:161.5                                        
 Max.   :166.2                                        

ถ้าต้องการ ส่วนสูงเฉลี่ยแยกตามเพศ จะต้องทำการเขียนคำสั่ง

Male<- subset(x = stu.data, subset = gender =="Male")
mean(Male$height)
[1] 159.6386

และ

Female<- subset(x = stu.data, subset = gender =="Female")
mean(Female$height)
[1] 160.2464

ถ้าสมมุติ ตัวแปรนี้มี ทั้งหมด 6 กลุ่มก็จะเขียนคำสั่งแบบเดิมถึงหกครั้ง ซึ่งเป็นการเสียเวลา อย่างมาก คำสั่ง aggregate( ) จึงเข้าช่วยแก้ปัญหานี้ได้

aggregate(x, data, FUN)  
  • x: การเขียนคำสั่งแบบ formal (ตัวแปรซ้ายมือขึ้นอยู่กับตัวแปรทางขวามือ)

  • data: กรอบข้อมูล

  • Fun: คำสั่งที่ต้องการใช้งาน โดยเขียนแต่ชื่อ เช่น mean median เป็นต้นโดยไม่ต้องมีวงเล็บเปิด ( )

ตัวอย่าง ต้องการค่าเฉลี่ยส่วนสูงแยกตามเพศ

aggregate(x = height~gender, data = stu.data, FUN = mean)  
  gender   height
1 Female 160.2464
2   Male 159.6386
Noteheight ~ gender

หมายถึง น้ำหนักขึ้นอยู่เพศ

ตัวแปรทางซ้ายมือควรเป็นตัวเลข และตัวแปรทางขวามือควรเป็นตัวแปรกลุ่ม (catagorical) หรือ factor

หรือต้องการความแปรปวนของส่วนสูงแต่ละคณะ

aggregate(x = height~faculty, data = stu.data, FUN = var)  
  faculty   height
1     BUS 7.144774
2    ECON 7.681056
3     SCI 5.486135

5.10 กลุ่มย่อยสองตัวแปรเป็นต้นไป

aggregate(x = height~faculty+gender, data = stu.data, FUN = mean)  
  faculty gender   height
1     BUS Female 160.9383
2    ECON Female 160.3171
3     SCI Female 159.6127
4     BUS   Male 159.6530
5    ECON   Male 159.6135
6     SCI   Male 159.6519

จะได้ตารางส่วนสูงเฉลี่ย ของ นศ.หญิงมาจากคณะบริหาร ไปจนถึง นศ.ชายจากคณะวิทยาศาสตร์

อย่างลืมใช้คำสั่ง colnames( ) เพื่อเปลี่ยนชื่อตัวแปรให้สื่อความหมายมากขึ้น

MEAN <- aggregate(x = height~faculty+gender, data = stu.data, FUN = mean)  
colnames(MEAN)[3] <- "mean of height"
MEAN
  faculty gender mean of height
1     BUS Female       160.9383
2    ECON Female       160.3171
3     SCI Female       159.6127
4     BUS   Male       159.6530
5    ECON   Male       159.6135
6     SCI   Male       159.6519

5.11 การทำ One-Hot Encoded ในอาร์

One-Hot Encoding เป็นกระบวนการแปลงตัวแปรกลุ่ม (categorical) เป็นตัวแปรใหม่ตามจำนวนกลุ่มที่มี รูปแบบของตัวเลข 0 หรือ 1

ID group
01 \("\)A\("\)
02 \("\)B\("\)
03 \("\)B\("\)
04 \("\)A\("\)
ID A B
01 1 0
02 0 1
03 0 1
04 1 0

5.11.1 คำสั่ง dcast( ) ในชุดคำสั่ง reshape2

data <- data.frame( 
  ID = c("01", "02", "03", "04"),
  group = c("A", "B", "B", "A")
                   )
library(reshape2)
New_data <- dcast(data = data, ID~group,
                  fun.aggregate = length)
New_data
  ID A B
1 01 1 0
2 02 0 1
3 03 0 1
4 04 1 0

5.11.2 คำสั่ง dummy_cols( ) ในชุดคำสั่ง fastDummies

คำสั่ง dummy_cols( ) ก็สามารถทำ one hot encoded ได้

library(fastDummies)
New_data <- dummy_cols(data, 
                       select_columns = "group") #column name
New_data
  ID group group_A group_B
1 01     A       1       0
2 02     B       0       1
3 03     B       0       1
4 04     A       1       0

5.12 ชุดคำสั่ง dplyr

โลโก้ชุดคำสั่ง dplyr

โลโก้ชุดคำสั่ง dplyr
# install.packages("tidyverse")
# หรือ
# install.packages("dplyr")
library(dplyr)

เป็นชุดคำสั่งสำหรับการจัดการข้อมูล (data manipulation) สำหรับวัตถุประเภทกรอบข้อมูลหรือวัตถุประเภทกรอบข้อมูลที่สร้างโดยคำสั่ง tibble ชุดคำสั่งนี้ที่เป็นส่วนหนึ่งของชุดคำสั่งในจักรวาล tidyverse การจะใช้ชุดคำสั่งนี้ให้มีประสิทธิภาพ หรือใช้งานได้ดี ผู้อ่านต้องมีความเข้าใจในการใช้ตัวดำเนินการ pipe operator (|>) เป็นอย่างดี และคำสั่งต่างๆ ในชุดคำสั่ง dplyr จะเป็นคำกริยา (verbs) ในภาษาอังกฤษ ประโยชน์ของชุดคำสั่งนี้คือ รูปแบบคำสั่งที่เข้าใจได้ง่ายและสามารถแก้ไขได้เรวดเร็วมากกว่า ชุดคำสั่งจากโปรแกรมพื้นฐาน

ปัญหาเบื้องต้นสำหรับกรอบข้อมูลจากคำสั่ง dplyr ที่นิยมใช้มี 5 คำสั่งคือ

  1. mutate( ) การสร้างตัวแปรใหม่จากกรอบข้อมูลเดิมที่มีอยู่

  2. select( ) การเลือกตัวแปรบางตัวจากกรอบข้อมูลเพื่อนำไปใช้งาน

  3. filter( ) การกรองข้อมูลในแต่ละตัวแปรภายใต้เงื่อนไขที่ต้องการ ในกรอบข้อมูล

  4. arrange( ) การเรียงค่าในตัวแปรจากกรอบข้อมูล

  5. summarise( ) การคำนวณค่าสถิติจากตัวแปรที่สนใจ หรือเงื่อนไขที่กำหนด จากกรอบข้อมูล

ตัวอย่างกรอบข้อมูลที่จำลองขึ้นมา คือ ตัวแปร group ที่มีค่าคือ A หรือ B และตัวแปร score ที่เก็บข้อมูลคะแนน(คะแนนเต็มคือ 100)

set.seed(1)
N <- 6
Data <- data.frame(
  group = sample(LETTERS[1:2], size = N, 
                 replace = TRUE),
  score = sample(80:100, size = N, 
                 replace = TRUE) )
Data
  group score
1     A    90
2     B    93
3     A    97
4     A    98
5     B    80
6     A   100

5.12.1 คำสั่ง mutate( )

คือการสร้างตัวแปร ขึ้นมาใหม่จากกรอบข้อมูลเดิมที่มีอยู่ เช่นต้องการสร้างตัวแปรใหม่ชื่อ percent จากค่า \(\dfrac{score}{100}\times 100\) ในหน่วยเปอร์เซ็นต์

Data |> 
     mutate(percent = paste0(score, "%"))
  group score percent
1     A    90     90%
2     B    93     93%
3     A    97     97%
4     A    98     98%
5     B    80     80%
6     A   100    100%

5.13 คำสั่ง select( )

คือการเลือกตัวแปรที่ต้องการไปใช้ เช่จ ต้องการตัวแปร group และ percent เท่านั้น

Data |>
     mutate(percent = paste0(score, "%")) |> 
     select(group, percent)
  group percent
1     A     90%
2     B     93%
3     A     97%
4     A     98%
5     B     80%
6     A    100%

5.13.1 คำสั่ง filter( )

คือการพิจารณากรองข้อมูลจากเงื่อนไขที่ต้องการ เช่น ในตัวแปร group ต้องการข้อมูลที่อยู่ ในกลุ่ม A เท่านั้น

Data |> 
  filter(group == "A")
  group score
1     A    90
2     A    97
3     A    98
4     A   100

5.13.2 คำสั่ง arrange( )

คือการเรียงลำดับค่าในกรอบข้อมูลโดยขึ้นกับตัวแปรที่ต้องการ โดยมีค่าตั้งต้นคือการเรียงจากน้อยไปมาก

# เรียงช้อมูลในตารางใหม่ตามค่า score
Data |> 
  arrange(score)
  group score
1     B    80
2     A    90
3     B    93
4     A    97
5     A    98
6     A   100

สำหรับการเรียงจากมากไปน้อยให้ นำตัวแปรที่ต้องการไปใส่ไว้ในฟังก์ชัน desc( )

Data |> 
  arrange(desc(score))
  group score
1     A   100
2     A    98
3     A    97
4     B    93
5     A    90
6     B    80

5.13.3 คำสั่ง summarise( )

คือการคำนวณค่าสถิติที่ต้องการโดย สามารถเลือกใช้เฉพาะค่าทางสถิติที่ต้องการใช้จริงๆ เท่านั้น โดยจะต้องตั้งชื่อตัวแปรใหม่ตามสถิติที่เลือกใช้ด้วย ดังตัวอย่างนี้

Data |> 
  summarise(OBS = n( ),
        AVERAGE = mean(score), 
             SD = sd(score),
            MIN = min(score),
            MAX = max(score))
  OBS AVERAGE       SD MIN MAX
1   6      93 7.321202  80 100

ในการกรณีที่สนใจการคำนวณค่าสถิติแบบ แยกตามกลุ่มของตัวแปร เช่น ค่าสถิติที่สนใจ แยกตาม กลุ่ม A และกลุ่ม B ก็จำเป็นจะต้องใช้คำสั่ง group_by( ) เพื่อจะแนกกลุ่มจากตัวแปรที่ต้องการก่อนการคำนวณทางสถิติที่ต้องการ

Data |> 
  group_by(group) |> 
  summarise(OBS = n( ),
        AVERAGE = mean(score), 
             SD = sd(score),
            MIN = min(score),
            MAX = max(score))
# A tibble: 2 × 6
  group   OBS AVERAGE    SD   MIN   MAX
  <chr> <int>   <dbl> <dbl> <int> <int>
1 A         4    96.2  4.35    90   100
2 B         2    86.5  9.19    80    93

5.13.4 คำสั่งอื่นๆ ในชุดคำสั่ง dplyr ที่น่าสนใจ

คำสั่งสำหรับจัดการข้อมูลในแถว

คำสั่ง distinct( )

เป็นการเช็คค่าตัวแปรประเภทกลุ่ม (categorical) ว่ามีค่าอะไรบ้างในตัวแปรนี้ เช่น

Data |> distinct(group)
  group
1     A
2     B

คำสั่ง slice( )

เป็นการเลือกข้อมูลตามหมายเลขแถวที่ต้องการ เช่นต้องการค่าในแถวที่ 2 ถึง 5

Data |> slice(2:5)
  group score
1     B    93
2     A    97
3     A    98
4     B    80

5.13.5 คำสั่งสำหรับจัดการข้อมูลในคอลัมภ์

คำสั่ง glimpse( )

เทียบเคียงได้กับคำสั่ง str( ) ในคำสั่งมาตราฐาน

Data |>  glimpse( )
Rows: 6
Columns: 2
$ group <chr> "A", "B", "A", "A", "B", "A"
$ score <int> 90, 93, 97, 98, 80, 100

คำสั่ง pull( )

เป็นการดึงด่าในตัวแปรของกรอบข้อมูลออกมาเป็นวัตถุแบบเวคเตอร์ โดยสามารถใช้ตัวเลข แทนลำดับในคอลัมภ์ หรือจะใช้จากชื่อตัวแปรก็ได้ เช่น

Data |> pull(var = 2)
[1]  90  93  97  98  80 100

หรือ

Data |> pull(var = score)
[1]  90  93  97  98  80 100

ถ้าต้องการให้ค่าในเวคเตอร์มีชื่อ ก็สามารถทำได้

Data |> pull(var = score, name = group)
  A   B   A   A   B   A 
 90  93  97  98  80 100 

คำสั่ง relocate( )

เป็นคำสั่ง การจัดการเรียงลำดับตัวแปรในกรอบข้อมูลใหม่

Data |> relocate(2, 1)
  score group
1    90     A
2    93     B
3    97     A
4    98     A
5    80     B
6   100     A

หรือ

Data |> relocate(score, group)
  score group
1    90     A
2    93     B
3    97     A
4    98     A
5    80     B
6   100     A

คำสั่ง rename( )

ตือการเปลี่ยนชื่อตัวแปรในกรอบข้อมูลนั่นเอง จากชขื่อ group เป็น GROUP และจากชื่อ score เป็น SCORE

Data |> rename(GROUP = group, SCORE = score)
  GROUP SCORE
1     A    90
2     B    93
3     A    97
4     A    98
5     B    80
6     A   100

5.13.6 คำสั่งสำหรับตัวแปรแบบกลุ่ม

คำสั่ง count( )

สำหรับนับจำนวนข้อมูลของตัวแปร ซึ่งอาจจะเป็นการนับตัวแปรกลุ่มเพียงตัวเดียวหรือมากกว่าหนึ่งตัวก็ได้ เช่น

Data |> count(group)
  group n
1     A 4
2     B 2

5.13.7 คำสั่งสำหรับตัวแปรในกรอบข้อมูลหรือสำหรับวัตถุแบบเวคเตอร์

คำสั่ง between( )

ใช้สำหรับเงื่อนไขกรณี \(a \leq X \leq b\) เช่นเลือกข้อมูลจากตัวแปร score ที่ \(93 \leq score \leq 98\)

ถ้าไม่ใช้คำสั่ง between( )

Data |>  filter(score >= 93 & score <= 98) 
  group score
1     B    93
2     A    97
3     A    98

หรือ

Data |>  filter(score >= 93) |> 
         filter(score <= 98)
  group score
1     B    93
2     A    97
3     A    98

ถ้าใช้คำสั่ง between( )

Data |>  filter(between(score, left = 93, right = 98)) 
  group score
1     B    93
2     A    97
3     A    98

5.13.8 คำสั่ง if_else( )

จะใช้งานเหมือนกับคำสั่ง ifelse( ) ในคำสั่งพื้นฐาน เช่นถ้า ค่า score มากกว่า 95 จะให้ค่าเป็น \("\)very good\("\) ถ้าไม่ใช่ ให้ค่าเป็น \("\)good\("\) ในตัวแปรใหม่ ชื่อ feeling

Data |> 
     mutate(feeling = if_else(score > 95, 
                               true = "very good", 
                              false = "good"))
  group score   feeling
1     A    90      good
2     B    93      good
3     A    97 very good
4     A    98 very good
5     B    80      good
6     A   100 very good

5.14 การเปลี่ยนโครงสร้างข้อมูล (reshape data) ด้วยชุดคำสั่ง tidyr

การเปลี่ยนโครงสร้างข้อมูล (reshape data) คือการเปลี่ยนลักษณะข้อมูลในกรอบข้อมูลเดิมไปสู่รูปแบบที่ต้องการ เช่น การนำชื่อตัวแปรไปเป็นข้อมูลของตัวแปรใหม่ และข้อมูลในตัวแปรเดิมจะเป็นข้อมูลของตัวแปรใหม่อีกตัวที่สร้างข้ึน เช่น การเก็บข้อมูลคะแนนวิชาคณิตศาสตร์ ก่อนเรียน (pretest) และ หลังเรียน (posttest)

โดยมีคะแนนตามตารางดังนี้

ตารางคะแนนคณิตศาสตร์
name pretest postest
student 1 28 31
student 2 23 40
student 3 26 43
student 4 20 47

เมื่อต้องการสร้าง ตารางข้อมูลใหม่ โดยตัวแปรใหม่คือ test โดยมีค่าเป็นคำว่า pretest และ posttest และตัวแปรใหม่อีกตัวชื่อว่า score ซึ่งมาจากคะแนนของ pretest และ posttest นั้นเอง จะได้ตารางใหม่คือ

ตารางคะแนนคณิตศาสตร์ใหม่
name test score
student 1 pretest 28
student 1 postest 31
student 2 pretest 23
student 2 postest 40
student 3 pretest 26
student 3 postest 43
student 4 pretest 20
student 4 postest 47

หรือตารางคะแนนคะแนนคณิตศาสตร์ จะถูกสร้างขึ้นมาจากตารางคะแนนคณิตศาตร์ใหม่ก็ได้ สำหรับตารางแรก จะถูกใช้สำหรับการทดสอบผลการเรียนรู้ระหว่างคะแนนก่อนเรียนและหลังเรียน ส่วนตารางที่สองจะเหมาะสำหรับนำไปการวาดกราฟกล่อง (boxplot) ด้วยชุดคำสั่งพื้นฐานหรือ ggplot2

ปัญหานี้ ถ้าใช้โปรแกรมอาร์ สามารถใช้ชุดคำสั่ง tidyr ได้

การติดตั้งคำสั่ง

install.packages("tidyr")

การเรียกใช้งาน

library(tidyr)

ตัวอย่างข้อมูลจากตารางคณิตศาสตร์ สร้างจาก

set.seed(1)
N <- 4
name <- paste("student", 1:4)
pretest <- sample(20:30, size = N)
postest <- sample(30:50, size = N)
data <- data.frame(name, pretest, postest)
data
       name pretest postest
1 student 1      28      31
2 student 2      23      40
3 student 3      26      43
4 student 4      20      47

5.15 คำสั่ง pivot_longer()

data.reshape <- pivot_longer(data = data,
                             cols = 2:3, 
                          names_to = "test",
                          values_to = "score")
data.reshape
# A tibble: 8 × 3
  name      test    score
  <chr>     <chr>   <int>
1 student 1 pretest    28
2 student 1 postest    31
3 student 2 pretest    23
4 student 2 postest    40
5 student 3 pretest    26
6 student 3 postest    43
7 student 4 pretest    20
8 student 4 postest    47

คำสั่งภายในที่จำเป็นประกอบด้วย

  • data กรอบข้อมูลที่ต้องการแปลง

  • cols เวคเตอร์ตำแหน่งของชื่อตัวแปรที่ต้องการ

  • name_to ชื่อตัวแปรใหม่ที่ใช้ตัวเก็บชื่อตัวแปรจากคำสั่ง cols

  • value_to ชื่อตัวแปรใหม่ที่แสดงข้อมูลในตัวแปรที่เลือกจากคำสั่ง cols

5.15.1 คำสั่ง pivot_wider( )

ถ้าตารางข้อมูลอยู่ในรูปแบบของตารางคะแนนคณิตศาสตร์ใหม่ ถ้าต้องการให้ตารางอยู่รูปตารางคะแนนคณิตศาสตร์ สามารถใช้คำสั่ง pivot_wider( ) ได้ดังนี้

pivot_wider(data = data.reshape,
                          names_from = "test",
                          values_from = "score")
# A tibble: 4 × 3
  name      pretest postest
  <chr>       <int>   <int>
1 student 1      28      31
2 student 2      23      40
3 student 3      26      43
4 student 4      20      47

คำสั่งภายในที่จำเป็นประกอบด้วย

  • data กรอบข้อมูลที่ต้องการแปลง

  • name_from การนำข้อมูลในตัวแปรที่ต้องการไปสร้างเป็นชื่อตัวแปร

  • value_from การนำค่าในตัวแปรที่ต้องการไปใส่เป็นข้อมูลของตัวแปรจากคำสั่ง name_from

ข้อสังเกตุ ผลลัพธ์จากคำสั่ง pivot_longer( ) และ pivot_wider( ) จะได้วัตถุหรือกรอบข้อมูลอีกแบบหนึ่งที่เรียกว่า tibble และสามารถใช้คำสั่งที่เกี่ยวข้องกับกรอบข้อมูลได้ทั้งหมด

Notetibble

tibble เป็นรูปแบบของข้อมูลที่เพื่อจัดเก็บข้อมูลในรูปแบบของตาราง (table) ซึ่งมีความคล้ายคลึงกับกรอบข้อมูล data frame ในการแสดงผลของตารางแบบ tibble จะบอกชนิดของข้อมูลในทุกตัวแปรด้วยเช่น

data.reshape
# A tibble: 8 × 3
  name      test    score
  <chr>     <chr>   <int>
1 student 1 pretest    28
2 student 1 postest    31
3 student 2 pretest    23
4 student 2 postest    40
5 student 3 pretest    26
6 student 3 postest    43
7 student 4 pretest    20
8 student 4 postest    47

ในขณะที่กรอบข้อมูลแบบปกติจะไม่แสดงชนิดของข้อมูลในแต่ละตัวแปร

data
       name pretest postest
1 student 1      28      31
2 student 2      23      40
3 student 3      26      43
4 student 4      20      47

สามารถสร้างได้ด้วยคำสั่ง tibble( ) หรือแปลงจากกรอบข้อมูลไปเป็น tibble ด้วยคำสั่ง as.tibble()

as_tibble(data)
# A tibble: 4 × 3
  name      pretest postest
  <chr>       <int>   <int>
1 student 1      28      31
2 student 2      23      40
3 student 3      26      43
4 student 4      20      47

คำสั่งนี้ จะอยู่ในชุดคำสั่ง tidyr ด้วย

คำสั่งอื่นในชุดคำสั่ง tidyr สามารถอ่านได้จากคู่มือ Wickham et al. (2024) และรูปแบบปัญหาลักษณะนี้ ยังมีอีกหลายรูปแบบ ผู้เขียนเพียงนำเสนอเฉพาะตัวอย่างที่สำคัญเท่านั้น

5.16 ชุดคำสั่ง forcats

ชุดคำสั่งนี้เป็นส่วนหนึ่งของชุดคำสั่ง tidyverse หรือ จะเรียกใช้จากเรียกใช้จากชุดคำสั่ง forcats ก็ได้

การติดตั้งชุดคำสั่ง

install.packages("tidyverse")
# หรือ
install.packages("forcats")

การเรียกใช้งาน

library("tidyverse")
# หรือ
library("forcats")

โลโก้ชุดคำสั่ง forcat

โลโก้ชุดคำสั่ง forcat

ชุดคำสั่งนี้ จะใช้สำหรับการบริหารจัดตัวแปรประเภทกลุ่ม (factor) โดยเฉพาะ และตัวแปรประเภทตัวอักษรก็สามารถใช้ได้ เพราะตัวแปรตัวษรเป็นตัวแปรชนิดหนึ่ง ที่มีการเรียงลำดับค่าในตัวแปร ตามลำดับตัวอักษรหรือพยัญชนะ ใช้กับตัวแปรหรือวัตถุแบบเวคเตอร์เท่านั้น โดยรูปแบบของปัญหาที่ใช้ ชุดคำสั่งนี้จัดการ มีคำสั่งหลักดังนี้

  • fct_reorder( ): การเปลี่ยนแปลงลำดับของตัวแปรกลุ่มโดยตัวแปรอื่น

  • fct_infreq( ): การเปลี่ยนแปลงลำดับโดยใช้ความค่าของความถี่

  • fct_relevel( ): การเปลี่ยนแปลงลำดับด้วยค่าที่ต้องการ

5.16.1 คำสั่ง fct_reroder( )

fct_reorder(.f, .x, .fun = median)

.f คือ ตัวแปรvector ประเภทตัวอักษร หรือกลุ่ม

.x คือ เวคเตอร์ของตัวเลข

.fun ค่าของฟังก์ที่ต้องการใช้ในการคำนวณจากตัวแปร .x โดยฟังก์ชันหรือค่าค่าสถิติที่กำหนดมาให้เป็นเบื้องต้น คือ median

ตัวอย่างการใช้งาน

set.seed(1)
 group <- c(rep("A", 20), rep("B", 30), rep("C", 25),rep("D", 35))
 score1 <- sample(41:70, size = 20, replace = TRUE)
 score2 <- sample(70:80, size = 30, replace = TRUE)
 score3 <- sample(50:70, size = 25, replace = TRUE)
 score4 <- sample(65:95, size = 35, replace = TRUE)
student <- data.frame(Group = group,
                      score  = c(score1,score2,score3, score4)) 
Da <- aggregate(score ~ Group, data = student, FUN = median)
Da
  Group score
1     A    54
2     B    76
3     C    59
4     D    83

จากข้อมูลถ้าเราสร้าง boxplot จะได้

student |> 
   ggplot( ) +
  aes(x = Group, y = score) +
  geom_boxplot( )

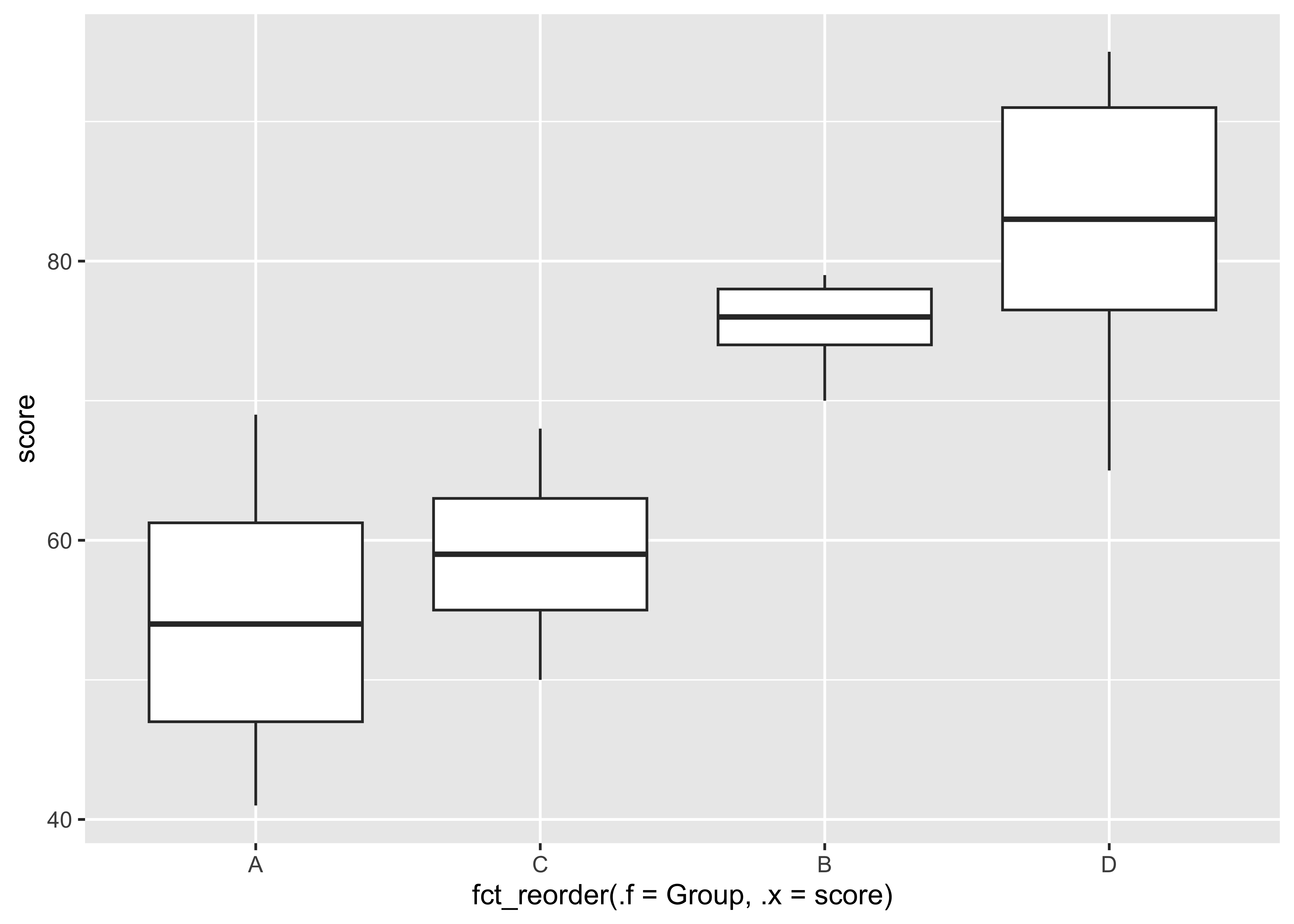
ในบ้างครั้งอาจจะต้องมีการเรื่องลำดับตามค่า median ในแต่ละกลุ่ม

student |> 
   ggplot( ) +
  aes(x = fct_reorder(.f = Group,.x = score), y = score) +
  geom_boxplot( )

หรือ

Da <- aggregate(score ~ Group, data = student, FUN = mean)
Da
  Group    score
1     A 54.30000
2     B 75.83333
3     C 59.56000
4     D 82.85714
fct_reorder(.f = Da$Group, .x = Da$score)
[1] A B C D
Levels: A C B D

ถ้าต้องการสร้างกราฟแท่ง

Da |> 
ggplot( ) +
  aes(x = Group, y = score)+
  geom_bar(stat = "identity")

ถ้าต้องการเรียงลำดับ

fct_reorder(.f = Da$Group, .x = Da$score, .fun = mean)
[1] A B C D
Levels: A C B D

หรือนำไปใช้สร้างกราฟแท่งแบบเรียงลำดับ

Da |> 
ggplot( ) +
  aes(x = fct_reorder(.f = Group, .x = score, .fun = mean), y = score)+
  geom_bar(stat = "identity")

5.16.2 คำสั่ง fct_infreq( )

การการสร้างตัวแปรกลุ่มแบบเรียงลำดับโดยจำนวนสามารถสมาชิกที่ปรากฏ จากน้อยไปมาก โดยใช้คำสั่ง fct_infreq( )

fct_infreq(f =  "ตัวแปรหรือวัตถุแบบเวคเตอร์ที่ต้องการเรียงลำดับ")

เช่น

table(student$Group)

 A  B  C  D 
20 30 25 35 

จะเห็นว่า จำนวนสามารถที่เรียงจากน้อยไปมาก คือ A C B และ D ตามลำดับ ดังนี้ถ้าต้องการเปลี่ยนตัวแปร Group ในกรอบข้อข้อมูล student เป็นตัวแปรกลุ่ม โดยใช้ความถี่เป็นเกณฑ์ ทำได้ดังนี้

student$Group <- fct_infreq(f = student$Group)
str(student$Group)
 Factor w/ 4 levels "D","B","C","A": 4 4 4 4 4 4 4 4 4 4 ...

หรือจะใช้คำสั่งจาก dplyr โดยใช้ตัวดำเนินการไปป์ ช่วยก็ได้

student <- student |> 
           mutate(Group = fct_infreq(f = Group))
str(student$Group)
 Factor w/ 4 levels "D","B","C","A": 4 4 4 4 4 4 4 4 4 4 ...

5.16.3 คำสั่ง fct_relevel( )

เป็นการตัวลำดับของตัวแปรตามที่เราต้องการ โดยอาจจะใช้บางฟังก์ชันหรือบางคำสั่ง เพื่อใช้ในการเรียงลำดับใหม่ ก็ได้ โดยคำสั่งที่ใช้คือ fct_relevel( )

fct_relevel( .f = ตัวแปรหรือวัตถุเวคเตอร์แบบกลุ่มที่ต้องการเรียงดำดับใหม่,
             c("ค่าของ levels ที่ต้องการเปลี่ยนจะมีกี่ตัวก็ได้"),
             after = เลขตัวแหน่งของ level ที่ต้องการเปลี่ยนโดยมีค่ามาตราฐานคือนำไปไว้หน้าสุด)

ตัวอย่างการใช้งาน จากเวคเตอร์ group ที่สร้างมาแล้วจากตัวอย่างข้างบน ทำการเปลี่ยนเป็นตัวแปรกลุ่ม โดยจัดระดับจากตัวอักษร A B C และ D ตามลำดับ

group <- factor(x = group, levels = c("A", "B", "C", "D"))
str(group)
 Factor w/ 4 levels "A","B","C","D": 1 1 1 1 1 1 1 1 1 1 ...

ตัวอย่างการใช้งาน

ถ้าต้องเรียงลำดับใหม่เป็น D A B C

fct_relevel(.f = group, "D")
  [1] A A A A A A A A A A A A A A A A A A A A B B B B B B B B B B B B B B B B B
 [38] B B B B B B B B B B B B B C C C C C C C C C C C C C C C C C C C C C C C C
 [75] C D D D D D D D D D D D D D D D D D D D D D D D D D D D D D D D D D D D
Levels: D A B C

ถ้าต้องการเรียงลำดับใหม่จาก เป็น B C A D

fct_relevel(.f = group, "A", after = 2)
  [1] A A A A A A A A A A A A A A A A A A A A B B B B B B B B B B B B B B B B B
 [38] B B B B B B B B B B B B B C C C C C C C C C C C C C C C C C C C C C C C C
 [75] C D D D D D D D D D D D D D D D D D D D D D D D D D D D D D D D D D D D
Levels: B C A D

ถ้าต้องการเรียงลำดับแบบย้อนกลับ คือ D C B A สามารถใช้คำสั่ง rev( ) ช่วย

fct_relevel(.f = group, rev)
  [1] A A A A A A A A A A A A A A A A A A A A B B B B B B B B B B B B B B B B B
 [38] B B B B B B B B B B B B B C C C C C C C C C C C C C C C C C C C C C C C C
 [75] C D D D D D D D D D D D D D D D D D D D D D D D D D D D D D D D D D D D
Levels: D C B A

หรือทำโดยวิธีปกติ ก็ได้

fct_relevel(.f = group, c("D", "C", "B", "A"))
  [1] A A A A A A A A A A A A A A A A A A A A B B B B B B B B B B B B B B B B B
 [38] B B B B B B B B B B B B B C C C C C C C C C C C C C C C C C C C C C C C C
 [75] C D D D D D D D D D D D D D D D D D D D D D D D D D D D D D D D D D D D
Levels: D C B A

คำสั่งอื่นๆ ของชุด คำสั่ง forcats ยังมีอีกหลายคำสั่ง ผู้เขียนเพียงนำเสนอปัญหาพื้นฐานที่ผู้เขียนพบเจอในการทำงานเท่านั้น ผู้อ่านสามารถศึกษาเพิ่มเติมจาก เวบไซต์ https://forcats.tidyverse.org/index.html หรือคู่มือการใช้งานก็ได้ Wickham (2023)

\(~\)